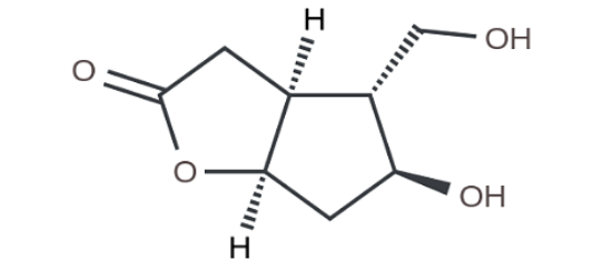
(+)-Corey Lactone Diol
CAS No.: 76704-05-7
Molecular Weight: 172.18
Molecular Formula: C8H12O4

CAS No.: 76704-05-7
Molecular Weight: 172.18
Molecular Formula: C8H12O4
Synonyms
(3aS,4R,5S,6aR)-(+)-Hexahydro-5-hydroxy-4-(hydroxymethyl)-2H-cyclopenta[b]furan-2-one2H-Cyclopenta[b]furan-2-one,hexahydro-5-hydroxy-4-(hydroxymethyl)-, [3aS-(3aa,4a,5b,6aa)]-
Inchi
Appearance
Density
Melting Point
Boiling Point
Refractive Index
1.546
Flash Point
Alpha
HS Code
Storage temp
Safety
Safty information about (3aS,4R,5S,6aR)-(+)-Hexahydro-5-hydroxy-4-(hydroxymethyl)-2H-cyclopenta[b]furan-2-one (CAS NO.76704-05-7) is:
WGK Germany: 3
Specifications
(3aS,4R,5S,6aR)-(+)-Hexahydro-5-hydroxy-4-(hydroxymethyl)-2H-cyclopenta[b]furan-2-one , its cas register number is 76704-05-7. It also can be called 2H-Cyclopenta[b]furan-2-one,hexahydro-5-hydroxy-4-(hydroxymethyl)-, (3aS,4R,5S,6aR)- ; 2H-Cyclopenta[b]furan-2-one,hexahydro-5-hydroxy-4-(hydroxymethyl)-, [3aS-(3aa,4a,5b,6aa)]- .